几个世纪以来,一些数学问题一直在困扰着我们,尽管近来超级计算机的出现让其中的一些难题取得了一些新进展,例如“三方求和”问题,但数学界仍然存在10大悬而未解的难题 。
1.科拉兹猜想

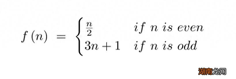
科拉兹猜想又称为奇偶归一猜想,是指对于每一个正整数,如果它是奇数,则对它乘3再加1,如果它是偶数,则对它除以2,如此循环 , 最终都能够得到1 。

本月初,澳大利亚数学家陶哲轩对科拉兹猜想有了一个接近解决方案 , 但这个猜想仍未完全解决 。
科拉兹猜想称 , 任何正整数,经过上述计算步骤后,最终都会得到1,可能所有自然数都是如此 。
目前已知数目少于1万的,计算最高的数是6171,共有261个步骤; 数目少于10万的,步骤中最高的数是77031,共有350个步骤 。
数目少于100万的,步骤中最高的数是837799,共有524个步骤; 数目少于1亿的,步骤中最高的数是63728127,共有949个步骤; 数目少于10亿的,步骤中最高的数是670617279 , 共有986个步骤 。
但是这并不能够证明对于任何大小的数,这猜想都能成立 。
2.哥德巴赫猜想?

将一个偶数用两个素数之和表示的方法,等于同一横线上,蓝线和红线的交点数 。
哥德巴赫猜想是数学界中存在最久的未解问题之一 。它可以表述为:任一大于2的偶数,都可表示成两个素数之和 。例如 , 4 = 22;12 = 57;14 = 311 = 77 。
也就是说,每个大于等于4的偶数都是哥德巴赫数 , 可表示成两个素数之和的数 。

哥德巴赫猜想在提出后的很长一段时间内毫无进展,直到二十世纪二十年代,数学家从组合数学与解析数论两方面分别提出了解决的思路,并在其后的半个世纪里取得了一系列突破 。
目前最好的结果是中国数学家陈景润在1973年发表的陈氏定理(也被称为“1 2”) 。
他用筛法证明了任何一个充分大的偶数都可以表示成两个素数的和或者一个素数及一个半素数(2次殆素数)的和 。
3.孪生素数猜想

这个猜想是最初发源于德国数学家希尔·伯特,他在1900年国际数学家大会上提出:存在无穷多个素数p,使得p2是素数 。
其中 , 素数对(p, p2)称为孪生素数 。在1849年,法国数学家阿尔方·德·波利尼亚克提出了孪生素数猜想:对所有自然数k,存在无穷多个素数对(p, p2k) 。k = 1的情况就是孪生素数猜想 。

2013年5月14日,《自然》杂志报道 , 美籍华裔数学家张益唐证明存在无穷多个素数对相差都小于7000万,可以用数式表示为:

此后,数学家们一直利用张益唐的证明降低素数对相差的数量 , 从数百万减少到数百 。根据计算,接近的数字是6 。而最终数字是到2 。或者最后一步会挑战数学家数十年时间 。
【盘点10大仍未解开的数学难题 10道变态难数学题】4.黎曼猜想

猜你喜欢
- 煮大闸蟹的方法 煮大闸蟹的方法视频教程
- 咸水角的做法 大家可以学习一下
- 晒腊肉的做法大全窍门 晒腊肉制作方法步骤
- 大麦若叶青汁粉能减肥吗 大麦若叶青汁有减肥效果吗
- 新鲜天麻怎么吃法大全 新鲜天麻吃法大全集
- 在小县城开店卖2元商品能赚钱吗 2元店利润有多大
- 酸奶牛轧糖的做法 酸奶牛轧糖的做法大全
- 芒鱼的做法大全 芒鱼的做法
- 自制砂锅饭的做法大全 懒人砂锅饭的做法
- 芒果的几种吃法大全 芒果的几种吃法
