康托尔对这个定理所使用的证明方法,事实上暗示了“无限的无穷” 的存在 。
在集合论的数学领域中,大基数性质是有限基数的一种性质 。顾名思义,具有这种性质的基数通常非常“大” , 它们不能在最普遍的集合论公理化中得到证明 。
最小无穷大 , 记为?? 。那是希伯来语字母aleph;它的读数为“ aleph-零” 。它是一组自然数的大小 , 因此被写为|?| =?? 。
接下来,一些常见集合大于大小?? 。康托尔证明的主要示例是实数集更大,用|?|>??表示 。
对于真正的大基数,数学家不断发现越来越大的基数 。这是一个纯数学的证明过程 , 就像有人说:“我想到了一个基数的定义,我可以证明这个基数比所有已知的基数都大 。”
然后 , 如果他们的证明是正确的,新的最大的已知大基数就此诞生,直到有人提出更大的基数证明 。
在整个20世纪,已知的大基数稳步向前发展 。从某种意义上说,大型基数层级的顶端已可见 。一些定理已经被证明,对大基数的可能性施加了某种限制 。但是仍然存在许多悬而未决的问题 。
9.e?

鉴于我们对数学中最著名的两个常数和e所了解的一切,这真让人惊讶,将它们加在一起时令数学家们困惑 。
这个问题全是关于代数实数的 。定义:如果实数是某些具有整数系数的多项式的根 , 则实数是代数的 。例如,x2-6是具有整数系数的多项式 , 因为1和-6是整数 。
x2-6= 0的根是x =√6和x =-√6,这意味着√6和-√6是代数数 。
所有有理数和有理数的根都是代数的 。所以可能感觉“大多数”实数都是代数的,结果却恰恰相反 。
实数可以追溯到古代的数学,而e是从17世纪才开始出现的 。
好吧,我们确实知道和e都是超越数 。但是,我们不清楚e是代数的还是超越数 。
同样,我们不了解e, / e及其它们的其他简单组合的结果性质 。因此 , 关于我们几千年来知道的数字仍然存在着令人难以置信的基本问题,这些问题仍然是神秘的 。
10.是有理数吗?

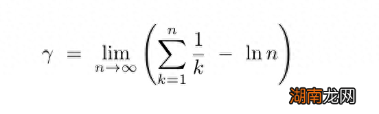
这是另一个很容易写出来但很难解决的问题 。是欧拉-马斯刻若尼常数 , 它是调和级数与自然对数的差值 。

它的近似值如上 。该常数最先由瑞士数学家莱昂哈德·欧拉在1735年发表定义 。欧拉曾经使用C作为它的符号,并计算出了它的前6位小数 。1761年他又将该值计算到了16位小数 。
1790年,意大利数学家洛伦佐·马斯刻若尼引入了作为这个常数的符号,并将该常数计算到小数点后32位 。
目前尚不知道该常数是否为有理数 , 但是分析表明如果它是一个有理数,那么它的分母位数将超过10的242080方 。
有理数是小数部分是有限或为无限循环的数,而不是有理数的实数遂称为无理数 。
目前 , 已经计算到了几千亿位数,但没有人能证明它是否为有理数 。普遍的预测是是非有理数的 。
猜你喜欢
- 煮大闸蟹的方法 煮大闸蟹的方法视频教程
- 咸水角的做法 大家可以学习一下
- 晒腊肉的做法大全窍门 晒腊肉制作方法步骤
- 大麦若叶青汁粉能减肥吗 大麦若叶青汁有减肥效果吗
- 新鲜天麻怎么吃法大全 新鲜天麻吃法大全集
- 在小县城开店卖2元商品能赚钱吗 2元店利润有多大
- 酸奶牛轧糖的做法 酸奶牛轧糖的做法大全
- 芒鱼的做法大全 芒鱼的做法
- 自制砂锅饭的做法大全 懒人砂锅饭的做法
- 芒果的几种吃法大全 芒果的几种吃法
